关于2023年多盈平台登录手机多盈在线客户端
公开招聘教师资格初审合格人员名单的公示
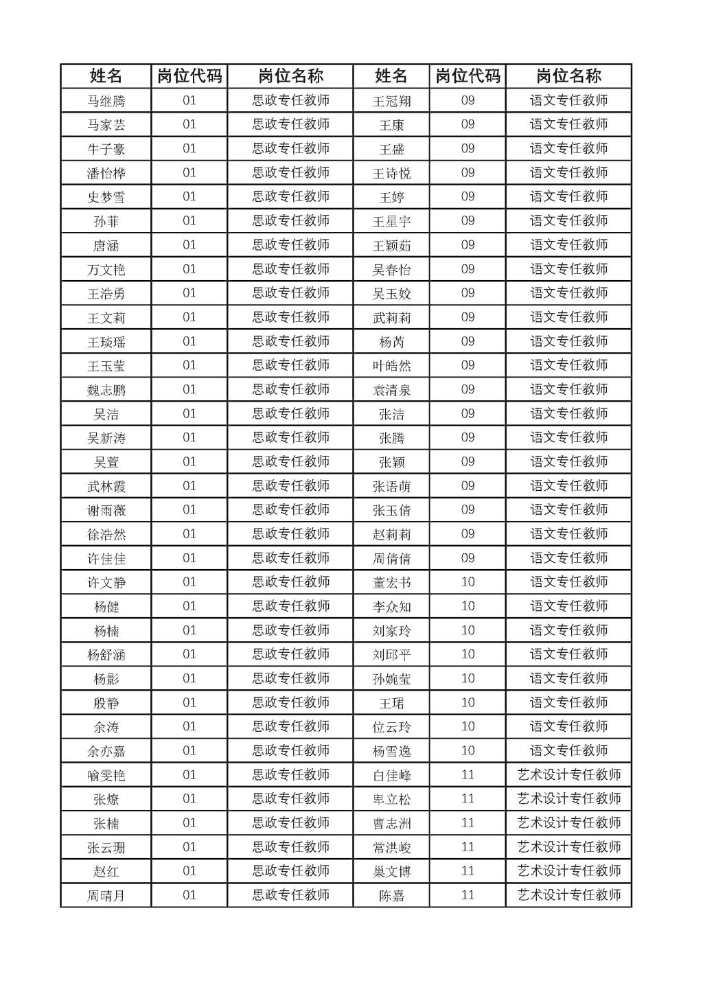
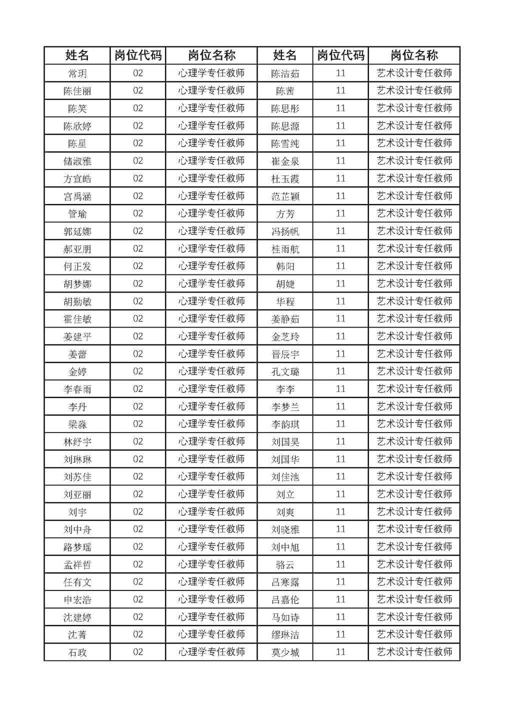
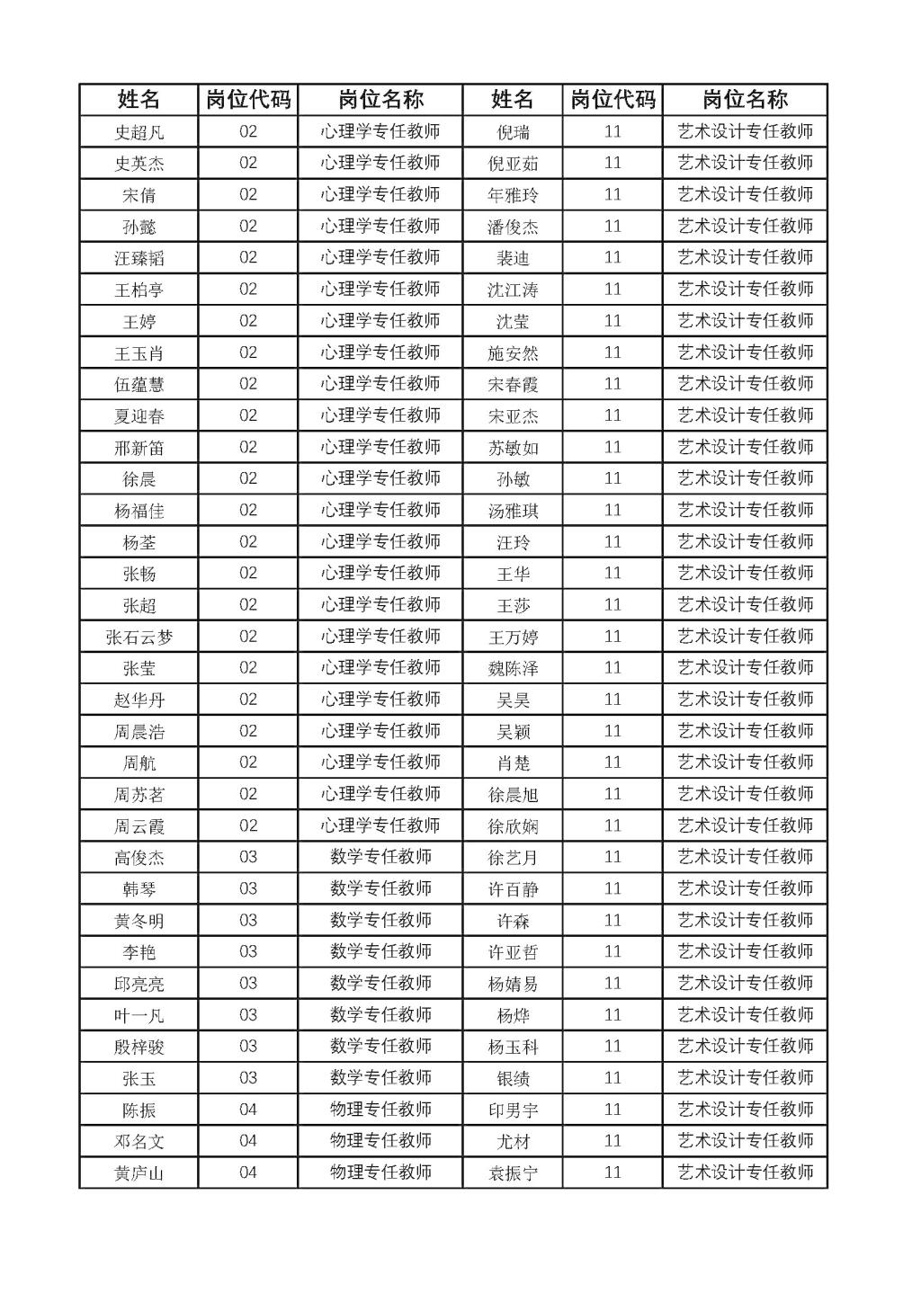
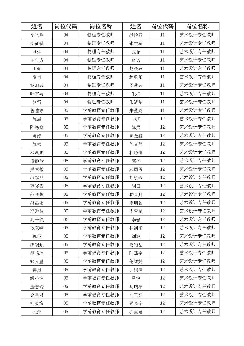
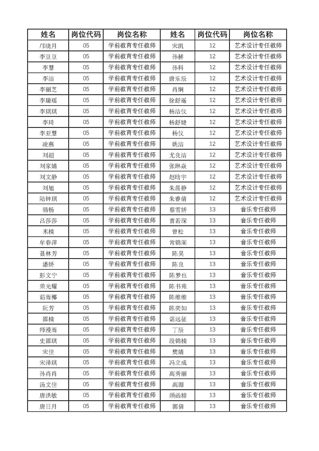
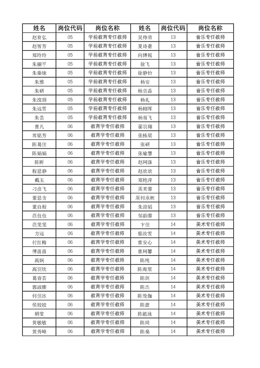
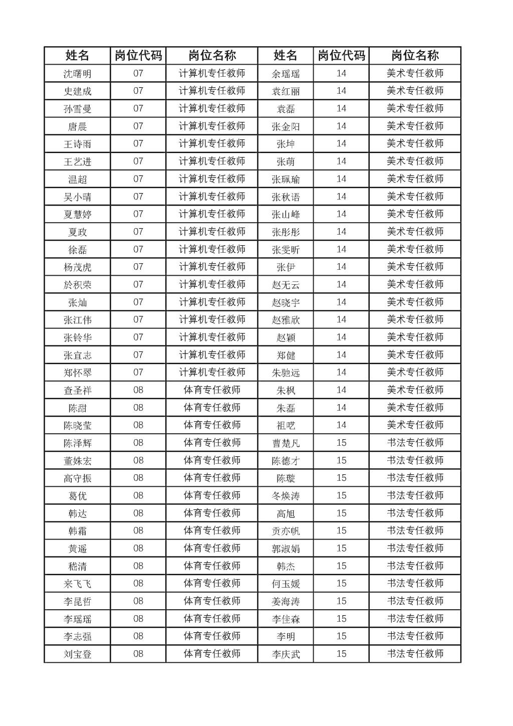
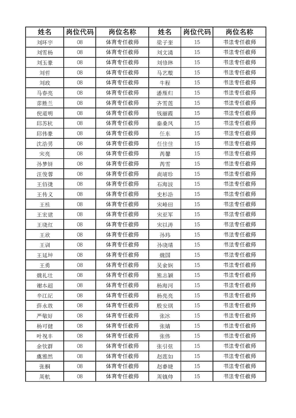
多盈平台登录手机多盈在线客户端2023年公开招聘教师资格初审工作已结束,现将资格初审合格人员名单予以公示(名单见附件)。多盈(中国)将同时以手机短信的方式通知初审合格人员,请应聘者手机保持畅通,关注查收“86(519)”开头的信息,避免信息屏蔽。
已通过资格初审的考生,如确认参加考试,需于6月16日12:00前扫描下方二维码,按要求填写并提交表单,以免影响考试。

常州市教育局、多盈平台登录手机多盈在线客户端纪检监察部门对此次招聘工作进行纪律监督。
监督电话:0519-85681337,0519-86509262 招聘工作举报信箱:czsyzpjb@changzhou.gov.cn













